Universe

A Framework on Engineering Calculation With Units in Typst. Featured with unit and number formatting by zero package.

Installation

Import the package by

#import "@preview/pariman:0.2.0": *

Or install the package locally by cloning this package into your local package location.

Usage

The quantity function

The package provides a dictonary-based element called quantity. This quantity can be used as a number to all of the calculation functions in Pariman’s framework. The quantity is declared by specify its value and unit.

#let a = quantity("1.0e5", "m/s^2")
Display value and unit: #a.display \
Display only the formatted value: #a.show \
Display the raw value verbatim: #a.text \
Significant figures: #a.figures \
Decimal places: #a.places
image of displaying quantity

Pariman’s quantity takes care of the significant figure calculations and unit formatting automatically. The unit formatting functionality is provided by the zero package. Therefore, the format options for the unit can be used.

#let b = quantity("1234.56", "kg m/s^2")
The formatted value and unit: #b.display  \
#zero.set-unit(fraction: "fraction")
After new fraction mode: #b.display
setting the unit Pariman loads the `zero` package automatically, so the the unit formatting options can be modified by `zero.set-xxx` functions.

For exact values like integers, pi, or other constants, that should not be counted as significant figures, Pariman have the #exact function for exact number quantities. The #exact function does not accept unit and has 99 significant figures.

#let pi = exact(calc.pi)
The value: #pi.display \
Significant figures: #pi.figures
exact number Note that the `quantity` function can accept only the value for the unitless quantoity.

The calculation module

The calculation module provides a framework for calculations involving units. Every function will modify the input quantitys into a new value with a new unit corresponding to the law of unit relationships.

#let s = quantity("1.0", "m")
#let t = quantity("5.0", "s")
#let v = calculation.div(s, t) // division
The velocity is given by #v.display. \
The unit is combined!
unit concatenation

Moreover, each quantity also have a method property that can show its previous calculation.

#let V = quantity("2.0", "cm^3")
#let d = quantity("0.89", "g/cm^3")
#let m = calculation.mul(d, V)
From $V = #V.display$, and density $d = #d.display$, we have
$ m = d V = #m.method = #m.display. $
method of calculation The `method` property is recursive, meaning that it is accumulated if your calculation is complicated. Initially, `method` is set to `auto`.
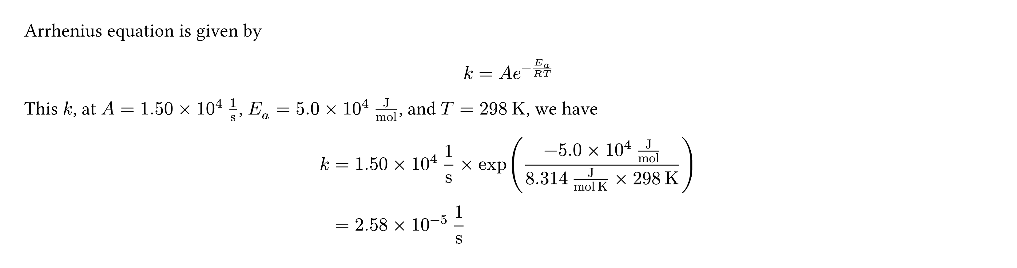
#let A = quantity("1.50e4", "1/s")
#let Ea = quantity("50e3", "J/mol")
#let R = quantity("8.314", "J/mol K")
#let T = quantity("298", "K")

Arrhenius equation is given by
$ k = A e^(-E_a/(R T)) $
This $k$, at $A = #A.display$, $E_a = #Ea.display$, and $T = #T.display$, we have
#let k = {
  import calculation: *
  mul(A, exp(
    div(
      neg(Ea),
      mul(R, T)
    )
  ))
}
$ 
  k &= #k.method \ 
    &= #k.display 
$
advanced methods

set-quantity

If you want to manually set the formatting unit and numbers in the quantity, you can use the set-quantity function.

#let R = quantity("8.314", "J/mol K")
#let T = quantity("298.15", "K")

#calculation.mul(R, T).display 
// 4 figures, follows R (the least).

// reset the significant figures
#let R = set-quantity(R, figures: 8) 
#calculation.mul(R, T).display 
// 5 figures, follows the T.
set-quantity

Moreover, if you want to reset the method property of a quantity, you can use set-quantity(q, method: auto) as

#let R = quantity("8.314", "J/mol K")
#let T = quantity("298.15", "K")

#let prod = calculation.mul(R, T)
Before reset:
$ prod.method = prod.display $
// reset
#let prod = set-quantity(prod, method: auto) 
After reset:
$ prod.method = prod.display $
reset method

Unit conversions

The new-factor function creates a new quantity that can be used as a conversion factor. This conversion factor have the following characteristics:

  • It has, by default, 10 significant figures.
  • It have a method called inv for inverting the numerator and denominator units.
#let v0 = quantity("60.0", "km/hr")
#let km-m = new-factor(
  quantity("1", "km"), 
  quantity("1000", "m")
) // km -> m

#let hr-s = new-factor(
  quantity("1", "hr"),
  quantity("3600", "s"), 
) // s -> hr

#let v1 = calculation.mul(v0, km-m)
First conversion, from km to m
$ v1.method = v1.display $

// change from hr -> s, use `hr-s.inv` because hr is in the denominator
#let v2 = calculation.mul(v1, hr-s.inv)
Second conversion: 
$ v2.method = v2.display $
new-factor

In-Text Quantity Declaration (The qt Module)

This module provides a top-layer functions that makes declaration of the quantities can be done at the same time as showing the formatted quantities. Declaration can be done by qt.new() function, which receives the same argument set as the quantity constructor, but with an additional, positional argument: its key/name. This name is important because it will be used to retrieve the value declared for further calculations or updates.

// Syntax: #qt.new(name, value, ..units)
A chemist added #qt.new("mA", "1.050", "g")
of A into a beaker filled with 
#qt.new("Vw", "100", "mL") of water. 
in-text declaration of quantities

Moreover, this #qt.new function also receives the following named options:

  • displayed (bool, default: true) Whether to display the declared quantity immediately.
  • is-exact (bool, default: false) Whether to set the specified quantity as an exact value (like declaring by exact function). To manipulate the quantities declared, we can use #qt.update(key, function) to update the variable that has a named key (same as the name specified by #qt.new), or create a new quantity named key by using a function function. For example,
I put a #qt.new("ms", "30.0", "g") of sugar into a #qt.new("V", "105", "mL") of water in a cup. After being stirred thoroughly, the sugar solution will have a concentration of
// import the division function
#import calculation: div 
// An update to calculate the concentration!
#qt.update("conc", q => div(q.ms, q.V))
// Show the result!
$ #qt.method("conc") = #qt.display("conc") $
qt.update function demonstration

Note that #qt.display(key) and #qt.method(key) are used as shortcut for accessing the display and method properties of the quantity identified by the name key. For other properties, you can access by #qt.get(key: name) as the following. Highlight the context.

#context qt.get(key: "ms")
qt.get() to see the properties

Lastly, you can set the property like set-quantity function by using the analogous #qt.set-property(key, ..properties), such as

What is the value of $pi$? \
// too long number!
It is #qt.new("pi", calc.pi, is-exact: true)  \
Oh, too long,  \
// set the displayed figure number
#qt.set-property("pi", display-figures: 4) 
It is now only #qt.display("pi")
set the quantity with qt.set-property

Available Calculation Methods

  • neg(a) negate a number, returns negative value of a.
  • add(..q) addition. Error if the unit of each added quantity has different units. Returns the sum of all q.
  • sub(a, b) subtraction. Error if the unit of each quantity is not the same. Returns the quantity of a - b.
  • mul(..q) multiplication, returns the product of all q.
  • div(a, b) division, returns the quantity of a/b.
  • inv(a) returns the reciprocal of a.
  • exp(a) exponentiation on based $e$. Error if the argumenrt of $e$ has any leftover unit. Returns a unitless exp(a).
  • pow(a, n) returns $a^n$. If $n$ is not an integer, a must be unitless.
  • ln(a) returns the natural log of a. The quantity a must be unitless.
  • log(a, base: 10) returns the logarithm of a on base base. Error if a is not unitless.
  • root(a, n) returns the $n$th root of a. If n is not an integer, then a must be unitless.
  • solver(func, init: none) solves the function that is written in the form f(x) = 0. It returns another quantity that has the same dimension as the init value.